Beijing Huaruikang Technology Co., Ltd     

Company IntroductionCorporate CultureHigh-Throughput Sequencing SeriesPCR SeriesqPCR SeriesReverse Transcription ReagentsEnzyme Reagents SeriesNucleic Acid Extraction SeriesReagentAutomated Workstation TipsManual Pipette TipsCentrifuge Tube SeriesPCR SeriesMicroplate SeriesPlate Sealing Film SeriesScrew-Cap Tube SeriesCell Culture SeriesConsumablesHRK-AS12 Automated Liquid Handling WorkstationInstrumentSTR/SSR microsatellite analysisCell identificationNext Generation sequencing platform serviceReal time fluorescent quantitative PCRFluorescence quantificationWestern BlottingProtein quantification16S species identificationITS qualificationMetagenome sequencingMacrotranscriptome sequencingMicrobiological testingGenome wide methylationTarget region methylation captureMethylation sequencingmRNA sequencingsmall RNA sequencinglncRNA sequencingcircRNA sequencingTranscriptional regulation sequencingWhole genome resequencingFull exon sequencingGenome sequencing
Share to:

16S Species Identification

ABUIABACGAAguLnxtQYo34G__wEwhAc4mQQ

                 

   

   

    16S Species Identification

     

    ProductCategory:Microbiological Detection




Product Details


Product Description    ----------------------------------------------------------------------------------------------------------


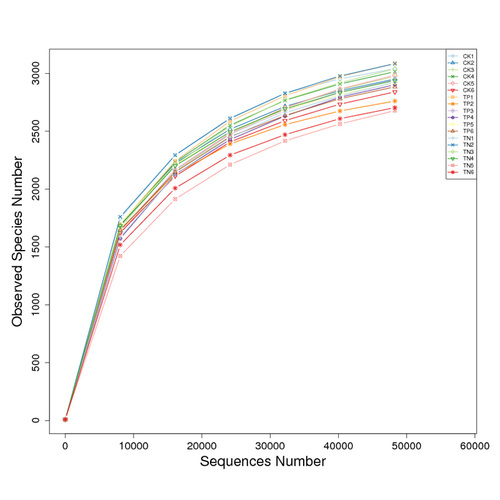
The 16S rRNA gene is a DNA sequence encoding the ribosomal small subunit RNA (16S rRNA) in prokaryotes, with a conserved length of approximately 1,540 base pairs present in all bacterial chromosomal genomes. The sequence contains nine hypervariable regions interspersed with ten conserved regions. The conserved areas reflect phylogenetic relationships among species, while the hypervariable segments provide discrimination at different taxonomic levels.


This method involves extracting DNA from environmental or biological samples, amplifying target regions of the 16S gene using universal primers, and analyzing sequence variations and abundance to investigate microbial community structure and diversity. It represents a fundamental approach in microbial ecology studies.


Key Advantages    ---------------------------------------------------------------------------------------------------------------


Long sequencing reads          High accuracy rates         Rapid project turnaround         Cost-effective solution

1.jpg



Contact us
contact QQ:669333272 Contact email:hrky180428@163.com
Recruitment email:hr_huaruikang.com.cn Contact phone number:010-69738937 Contact address:Unit 1, Building 3, Yard 1, Beiqing Road, Changping District, Beijing506
ABUIABAEGAAg4cql8AUo0Mmx3AcwFDgU

11011402010398